9 检查评分方法
9.1 检查评分办法
9.1.1 在市政工程施工安全检查评定中,保证项目应全数检查。
9.1.2 市政工程施工安全检查评定应符合本标准第3章~第8章中各检查评定项目的有关规定,并应按本标准附录A、附录B的评分表进行评分。检查评分表应分为通用检查项目、地基基础工程、脚手架与作业平台工程、模板工程及支撑系统、地下暗挖与顶管工程、起重吊装工程分项检查评分表和检查评分汇总表。
9.1.3 各评分表的评分应符合下列规定:
1 分项检查评分表和检查评分汇总表的满分分值均应为100分,评分表的实得分值应为各检查项目所得分值之和;
2 分项检查评分应采用扣减分值的方法,扣减分值总和不得超过该检查项目的应得分值;
3 当按分项检查评分表评分时,保证项目中有一项未得分或保证项目小计得分不足49分,此分项检查评分表不应得分;
4 检查评分汇总表中各分项项目实得分值应按下式计算:
(9.1.3-1)
式中:——汇总表中各分项项目实得分值;
B——汇总表中该项应得满分值;
C——该项检查评分表实得分值。
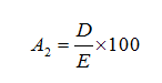
5 当评分遇有缺项时,分项检查评分表或检查评分汇总表的总得分值应按下式计算:
(9.1.3-2)
式中:——遇有缺项时总得分值;
D——实查项目在该表的实得分值之和;
E——实查项目在该表的应得满分值之和。
6 地基基础工程、脚手架与作业平台工程、模板工程及支撑系统、地下暗挖与顶管工程、起重吊装工程项目的实得分值,应为所对应专业的分项检查评分表实得分值的算术平均值。
9.2 检查等级
9.2.1 市政工程施工安全检查应按汇总表的总得分和分项检查评分表的得分,划分为合格、不合格两个等级。
9.2.2 市政工程施工安全检查评定的等级划分应符合下列规定:
1 分项检查评分表保证项目分值均应达到第9.1.3条规定得分标准,汇总表得分值应在70分及以上,且保证项目得分值在49分以上时,应为合格。
2 当汇总表得分值不足70分或有一分项检查评分表未得分时,应为不合格。
9.2.3 当市政工程施工安全检查评定的等级为不合格时,必须限期整改达到合格。

下载地址:









